THOUGHT LEADERSHIP

Trade strategy and volatility surprises

Global head of sales at ISS LiquidMetrix, Henry Yegerman, considers which trading strategies preform best when markets are at their most volatile in this in-depth execution analysis.

What happens when the price volatility of a stock differs from market expectations? What type of trade strategies are being used by traders when the level of volatility is greater than historical volatility?

Which strategies are used when volatility is less than historical volatility? And which strategies provide the best performance in these scenarios?

Here we examine trade strategy preferences when there is a volatility surprise.

The key takeaways are:

1) When intra-order volatility is less than the expected volatility of the trade, the preferred strategy is high-touch. When intra-order volatility is higher than the expected volatility the preferred trading strategy is volume weighted average price (VWAP).
2) Among the four types of trading strategies examined, liquidity seeking strategies perform best when intra-order volatility is significantly different than expected volatility.
3) The worst performing strategy is VWAP when intra-order volatility is less than expected volatility. However, when the volatility surprise is the opposite – intra-order volatility is larger than expected volatility, the worst performing strategy is high touch.

We will use a metric called “volatility variation” to measure the extent to which volatility during the life of an order differs from historical volatility. Volatility variation is simply: (in-trade volatility (from order arrival to last fill) in bps / annualised volatility in bps) – 1

In-trade volatility is defined for the period (arrival-last fill), all public trades are gathered and the total volume at each price is summed. The standard deviation of this distribution is then computed. Note that the mean (average) of the distribution is the volume weighted average price or VWAP. The width of this distribution (calculated using the standard deviation) is what is referred to as the trade-based intraday volatility. If all volume is done at same price, volatility is zero. As volume becomes spread across many prices, the volatility increases.

We define annualised volatility as the daily (primary market) average price movements over the last 90 days. “Average price” is calculated using “total value traded” / “total volume traded” for each day. We calculate the percentage price movements on a per day basis over this period. We then calculate a standard deviation of these price movements and then multiply by the square root of 252. (This assumes 252 trading days each year.)  

In this context, we will sometimes refer to the annualised volatility as the expected volatility as it represents the experience of the past quarter. A positive result in the volatility variation metric indicates that volatility during the order interval is greater than the volatility over the past 90 days.

Likewise, a negative result indicates that volatility over the life of the order is less than the 90-day historical volatility. The larger the absolute value of the number, the greater the difference between intra-order and annualised volatility.

We are using more than 11 million orders, but most of the orders are of relatively short duration (see Figure 1). Note that we have excluded any orders less than 10 minutes in duration.

The first question we want to ask is what are the preferred trading strategies when intra-order volatility differs from the expected volatility? We will focus on four different types of trading strategies. Figure 2 indicates that when intra-order volatility is less than the expected volatility the preference is to use a cash desk for the order.  

We exclude orders with less than a 25% difference between intra-order and expected volatility. These orders have reasonably similar volatility levels and would not count as volatility surprises. This can be seen as the bottom of the intra-quartile range in the box and whiskers chart has a value greater than zero.

Percentage of volume (POV) and VWAP are used when intra-order volatility exceeds expected volatility by the largest difference. When intra-order volatility is much less than expected volatility, the preferred strategy is to use a cash desk.

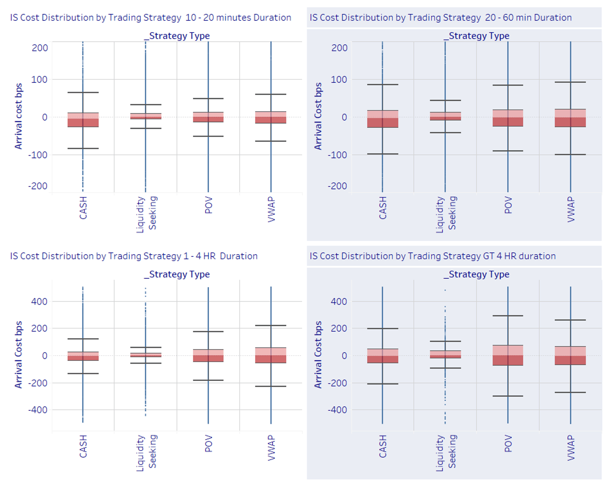
We can then examine whether there are any significant differences with respect to strategy performance when there is a volatility variation across different order durations. Figure 3 shows the distribution of cost outcomes for the different trading strategies when intra-order volatility is less than the expected volatility.

Liquidity seeking strategies perform best both from the perspective of having the lowest costs versus the benchmark, but also from a risk standpoint as there is the tightest distribution of cost outcomes. VWAP strategies perform the worst although they are closely followed by cash strategies. Figure 4 shows performance versus implementation shortfall when the intra-order volatility is significantly larger than expected volatility.

Liquidity seeking strategies again perform best, but when intra-order volatility is larger than expected volatility, cash strategies perform worst.

For More Information Contact:
Henry Yegerman

Email: Henry.Yegerman@issgovernance.com